估值840亿AI实验室再放大招,他们要给大模型戴上「紧箍咒」
炒股就看,**,专业,及时,全面,助您挖掘潜力主题机会!
(来源:新智元)

新智元报道
编辑:元宇
【新智元导读】在大模型训练时,如何管理权重、避免数值爆炸与丢失?Thinking Machines Lab 的新研究「模块流形」提出了一种新范式,它将传统「救火式」的数值修正,转变为「预防式」的约束优化,为更好地训练大模型提供了全新思路。
刚刚,OpenAI前CTO Mira Murati创办的Thinking Machines Lab再次发布成果!
这是他们继(Defeating Nondeterminism in LLM Inference)之后,第二篇研究文章——《模块流形》(Modular Manifolds)。

博客地址:https://thinkingmachines.ai/blog/modular-manifolds/
训练大型神经网络如同「走钢丝」,必须小心翼翼地维持其内部「健康」,防止权重、激活值或梯度这些关键张量变得过大或过小,以免引发数值溢出等一系列问题。
其中一个重要的思路,是为大模型提供一套统一的量级管理。
首先是稳住基本盘。
使用Layer Norm技术把每层的输出拉回合适范围,对激活向量进行归一化(normalization),这也是目前一种普遍的做法。
对梯度更新进行归一化也很常见,例如Muon优化器对更新进行谱归一化处理,使每一步更新的幅度可控。
再进一步,是直接「管住」权重本体。
归一化权重矩阵是一个值得尝试的方向。
文中提出了一种重新思考优化算法提供了新视角:将权重张量约束在某个子流形(submanifold)上,以便与这些流形约束协同设计优化算法。
这好比把「救火」变「预防」:
一开始就把参数放在健康区间,让训练更稳、更具解释性,从而使大模型可以更稳定、高效地训练起来。
流形优化器的形态
我们知道,流形只是一个局部看起来很平坦的曲面。
如果放大到足够多,它看起来就像是一个普通平面。
流形上某一点附近的局部平坦空间称为「切空间」(tangent space)。
如图1所示,三维球面或更高维度的超球面是一个流形,图中以红色部分表示其在某点的切平面。
为了让权重能够「待在」指定的流形里,一个简单的方法是使用普通优化器,在每步更新后将权重投影回流形。
但问题是如果优化步骤偏离流形太多,再被强制投影回来,这会导致名义学习率不再对应参数在流形上的实际位移,从而削弱我们对「步长—效果」关系的直觉。
想在流形上认真设计训练算法,必须先想清楚:在切空间里怎么度量「距离」?
一个解决思路是直接在切空间中进行优化。这样,每一步都是沿着流形「表面」走,学习率能更好地对应「实际位移」。
常见的选择是欧几里得距离,但也可以选择以其他方式测量距离,如图2所示。

值得注意的是,距离度量方式的选择会直接影响最优优化步骤的方向。
图3中,粉色箭头表示原始梯度——即损失函数对权重的偏导数(partial derivative)。
也就是说,我们不一定非要严格按照梯度方向移动。
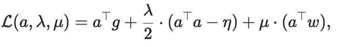
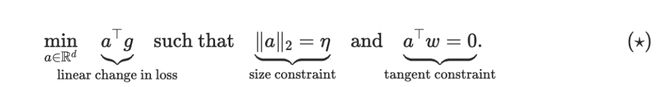
为了用数学表达这个过程,我们可以把「在流形约束和特定距离度量下的最优更新方向」看作一个带约束的优化问题,可以用一个搭配欧几里得范数的超球面来举例。
用g表示梯度, w表示超球面上的当前点, a表示更新方向, η表示学习率,我们需要解决的问题是:
再回到图 1、2 和3所展示的可视化语言,这个公式的意思是:绿色箭头(也就是a的最优解)必须同时满足两个条件:
一是它要落在红色的切平面上,二是它必须在半径为η的黄色圆圈上。
我们可以应用拉格朗日乘数法来求解。

其中λ和μ是拉格朗日乘子。
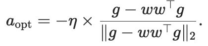
对这个拉格朗日函数对a求导并令其为零,然后结合两个约束条件求解λ和μ,就可以得到最优更新方向。

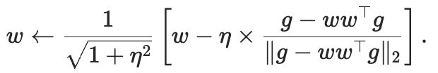
简单来说最优更新的做法是:先从梯度中减去与w同方向的径向分量,即把梯度投影到切空间上,然后将结果归一化,再乘以学习率。
这样得到的更新方向就在切空间里了。
图4中显示这个微小的修正过程被称为「回缩映射」(retraction map)。
完整的流形优化算法如下:

总结来说,一阶流形优化器包含三个步骤:
在执行这一流程时,我们需要决定选择什么样的流形来作为约束,此外是如何定义「长度」的度量方式。
根据这两个选择的不同,我们就能得到不同的优化算法,具体见下表。

流形Muon
Transformer中的典型权重矩阵W是一个「向量变换器」,即它将输入向量x
转换为输出向量y=Wx。
我们希望设计一种流形约束和距离函数,使得该矩阵对输入向量的作用合理:既不应导致输出值过大或过小,也不应在更新权重时引起输出向量剧烈变化或几乎无变化。
一个思考矩阵如何作用于向量的好方法是使用奇异值分解(SVD),如图 5 所示。
SVD以分解矩阵的方式显示矩阵如何沿着不同的轴拉伸输入向量。

我们希望矩阵的「拉伸效应」接近于1,因此选择了一个所有奇异值均为1的矩阵流形。
这种矩阵流形在数学上被称为Stiefel流形,在高矩阵( m≥n)的假设下,它可以等价地定义为以下集合:

要为Stiefel流形设计优化器,还需选择一个合适的距离函数。
为限制权重更新对输入向量的最大拉伸作用,谱范数(spectral norm),即矩阵最大奇异值的度量是一个合适的选项。
虽然它只约束了最大效应,但由于优化器会饱和这一上限,因此也能间接防止最小效应过小。
正是这一想法,促成了Muon优化器的提出。
这一想法与Stiefel流形约束结合后,就形成了「manifold Muon」问题。

文中的一个关键发现是一个凸优化问题,可以通过标准方法——对偶上升法(dual ascent)来求解。

经过推导,对偶函数的梯度为:
通过一个小实验,可以验证算法的可行性,实验设置与结果见图6。
模块流形
这里还有一个重要的问题:当我们将多个层组合起来构建完整的神经网络时,会发生什么?
是否需要关注层与层之间的交互,并据此修改优化策略?
这需要一种可以将前文介绍的推导逻辑推广到整个神经网络的方法——模块流形(modular manifolds)理论。
该理论的核心思想是:构建一种抽象机制,用来指导如何在各层之间合理分配学习率。
在本质上,在不同层之间分配学习率,或者对单个层进行缩放,都依赖于我们对网络输出对权重的Lipschitz敏感性的理解。
我们在搭建网络的过程中会追踪这种敏感性,而流形约束有助于我们更加精准地把握它。
